
Egyre több a már serdülőként csalódott, kiábrándult, céltalan fiatal. Életútjukat megismerve kiderül, soha nem ok nélkül. A családi szocializáció zavarai, a csonkacsaládokból hiányzó (főként) apai modell, a túl korai elengedés vagy túlóvás következményei, az ésszerű korlátok hiánya, a feltétel nélküli mindent megengedés, (mely ma számos szülő szerint a jó szülő védjegye), a konzum-kultúra fogyasztásra és könnyű megoldásokra csábító üzenetei mind-mind forrásai a serdülőkori devianciáknak, lelki problémáknak.
Pedig a jövőnk célja, értelme, záloga, hogy testileg és lelkileg egyaránt ép, egészséges fiatalságot neveljünk. A testi egészségről talán több szó esik, ám a mentális egészség még mindig elhanyagolt terület, legtöbbször csak akkor figyelünk rá, ha már megtörtént a baj, és megelőzés helyett a tünetet kell orvosolni.
A WHO Zöld könyvében a mentális egészséget úgy definiálják, mint a jóllét állapotát, amelyben az egyén meg tudja valósítani képességeit, meg tud birkózni a normális élet stresszhelyzeteivel, termékenyen képes dolgozni és hozzá tud járulni a közösségének életéhez. Az Amerikai Egyesült Államokban használt megközelítés szerint a mentális egészség „ a mentális funkciók jó működésének állapota, amely produktív tevékenységeket, az emberekkel való kapcsolatok kiteljesedését, a változásokhoz való alkalmazkodást és a nehézségekkel való megküzdés képességét eredményezi”.(Makara, 2008)
Kopp Mária szerint - a közfelfogással ellentétben - a modern világ egyik legnagyobb hibája, hogy kevés benne a stressz. „ A szervezetünk a régmúltban arra épült föl, hogy nagy nehézségekkel küzdjünk meg; a kútról vizet kell húzni, át kell menni az erdőn, a havas úton. Egy modern lakótelepen fölnőtt gyermek legfeljebb lemegy a játszótérre, de leginkább ül a videó előtt. Természet adta kihívásoknak nem kell megfelelnie, ezekre nem készül föl a szervezete. A gyerek nem kerül szembe elég kihívással, megoldandó feladattal, emiatt sem fizikailag, sem pszichikailag nem fejlődik eléggé.” (Kopp , 2001)
Gyermekek, serdülőkorúak esetében elsődleges cél a mentális egészség megőrzése, kiteljesítése. Ehhez elengedhetetlen a korlátokat állító és mankókat nyújtó családi szocializáció, az oltalmazó és bátorító szülő-gyerek kapcsolat, a feltétel nélküli elfogadás és önelfogadás, az anyához (szülőkhöz) való szeretetteljes kötődés, mely minden későbbi társkapcsolati kötődés alapja, s a serdülőt a különböző életkihívásokban hatékonyan segítő megküzdési módok birtoklása és alkalmazása.
Jelen tanulmányban egy olyan kutatás eredményeit összegzem, mely a serdülőkori kötődés, önértékelés, megküzdés kapcsolatát vizsgálta.
Azt a folyamatot, amely során a személy megpróbál szembeszállni a stresszel, a problémákkal, megküzdésnek nevezzük. A megküzdési képességek (coping stratégiák) azt mutatják, hogy tud a személy a nehéz, stresszkeltő élethelyzetekkel megbirkózni. Ezek az egyénre jellemzőek és a szocializáció során alakulnak ki.
A megküzdés lényege, hogy „ az emberek szabályozzák viselkedésüket, érzelmeiket és tájékozódási próbálkozásaikat a pszichológiai stressz feltételei alatt. A megküzdés célja a kompetencia-, az autonómia-, és a kötődési igény kielégítése nehezített feltételek esetén is. (Skinner és Wellborn 1994,)
Serdülők kapcsán gyakran tapasztaljuk, mennyire nincsenek birtokában azoknak az adaptív megküzdési módoknak, melyekkel sokszor a legegyszerűbb konfliktushelyzet megoldható lenne. Különösen középiskolába lépve csúcsosodnak a nehézségek, s az új helyzetnek való megfelelés a teljesítmény és a társkapcsolatok terén egyaránt kilátástalan helyzeteket idézhet elő.
A serdülőkor a regresszív és progresszív folyamatok váltakozásaként jellemezhető. Regresszív abban az értelemben, hogy a korábbi életszakaszokban már megküzdött konfliktusok és elért eredmények megrendülnek, a korábbi életszakaszokra jellemző megoldási stratégiák visszatérnek, de az új helyzet kihívásainak megoldásához nem elégségesek. Progresszív azonban abban az értelemben, hogy az én felsorolt megrendülései újabb megküzdési stratégiák kialakítását teszik lehetővé és szükségessé, és ezek az új stratégiák végső soron elvezetnek a felnőtt, érett személyiséghez.(B.Kádár, 1997)
Serdülőkorban ugrásszerűen megnövekszik a kortársak befolyása a felnőttekével szemben. Mérei Ferenc átpártolásnak nevezi ezt a fordulatot, mely már a hatodik életév körül bekövetkezik. Ekkor a gyermek a családi biztonság, háttér igénye mellett mind jobban társai felé fordul. A pubertás kezdetén újabb átpártolás következik be a serdülő viselkedésében.
„ Az indulati és érzelmi meghatározottságú gyermek-szülő viszonylatból kibontakozik és beérik a kötődési fordulat, a helyzeti eredetű, körülményvezérelt, kifelé irányuló társas kapcsolódások igénye és képessége. ” (Bagdy, 1977, 70.o.)
A kötődés a fiatal élőlény azon késztetése, hogy egy bizonyos másik egyed közelében maradjon, mivel nagyobb biztonságban érzi magát annak jelenlétében (Atkinson, 1995), és mindez magában foglal egy érzelmi kapcsolatot is, mely mintául szolgál a későbbi életszakaszokban kialakított kapcsolatok minőségére.
Ez a definíció megvilágítja a korai anya-gyerek kapcsolat valószínűsíthető determináló erejét az egész életen át kialakított interperszonális kapcsolatok jellegére.
A személyiség testi-lelki fejlődésének megalapozása az anya-gyerek kapcsolatban történik. Ez az első szociális kontaktusforma, „ az emberformálás első műhelye”. (Bagdy, 1977)
A modern kötődési vizsgálódások kiindulópontja az, hogy a gyermekkorban kialakított kapcsolati munkamodelleket a személy magával viszi a felnőttkori életébe is (bár időközben történnek módosulások). Ezek a munkamodellek hatással vannak a felnőttkori kapcsolatokra is, ennélfogva a személyiség magját képezik. (Carver, Scheier, 2004)
Kötődés és megküzdés témakörökben számos hazai és nemzetközi vizsgálat történt az elmúlt évek során.
A kutatások igazolják, hogy a nem adaptív konfliktuskezelési stratégiák a különböző testi, mentális betegségek előidézésében, fenntartásában és kiújulásában jelentős szerepet játszanak.
Kopp Mária és munkatársai arra a következtetésre jutottak a magyar lakosság széles körében végzett vizsgálataik eredményeként, hogy a testi egészségromlás legfőbb pszichológiai háttértényezője a nem megfelelő konfliktusmegoldó képességekkel társuló depressziós tünetegyüttes. (Kopp és mtsi, 1997)
A megküzdési stratégiák egy, a személyre viszonylag stabilan jellemző megküzdési mintázatot alkotnak, melyeknek kialakulása számos állandó személyiségjegytől, valamint a személy viszonylag kevésbé stabil személyiségtényezőitől függ. Ilyen kevésbé stabil tényező például a személy önértékelése, optimista, pesszimista beállítottsága.
Scheier és Carver kutatásai szerint az optimista személyek inkább a problémaközpontú, a pesszimisták pedig az érzelemközpontú megküzdési stratégiákat részesítik előnyben.(Scheier, Carver, 1985; in.: Bugán, Margitics, 2002)
Fiske és Taylor (1984) arra mutat rá, hogy a nemi különbségek is befolyásolják a megküzdési stílus alakulását. A nőkre jellemzőbb a társas támogatás, mint a férfiakra. A külső segítség, társas támogatás igénylésében fontos szerepe van a másik felé kialakított kötődésnek, bizalomnak. (Fiske, Taylor, 1984; in.: Bugán, Margitics, 2002)
Sandler szignifikáns összefüggést talált a stressz és a társas támogatás, valamint a stresszel való megbirkózás között. A társas támogatás hiánya megmutatkozik a magatartás- és személyiségzavarok gyakoriságában is. (Sandler, 1980 ;in.: Pikó 1997)
Csorba és Huszár erős mentális distresszben szenvedő serdülő lányok vizsgálatában megállapítja, hogy szignifikánsan kedvezőtlenebb nevelési előzményekkel és körülményekkel, rosszabb szülő-gyerek kapcsolattal, önképpel rendelkeznek. (Csorba, Huszár, 1991)
Kökönyei és munkatársai a serdülők mentális és fizikai „jól - létét” befolyásoló tényezők kutatása során azt tapasztalták, hogy leginkább a „self faktor” (önértékelés, magabiztosság) befolyásolja azt. A család, az iskola és a kortárscsoport, illetve azok interakciói bár közvetlen hatást is gyakorolnak a tanulók jól létére, elsősorban a selfen keresztül fejtik ki hatásukat.
(Kökönyei és mtsi, 2002)
Oláh Attila nemzetközi kutatásai szerint minden általa vizsgált kultúrában (magyar, indiai, olasz, svéd, jemeni) felnövő serdülőre érvényes, hogy az alacsony és közepes szorongásszint esetén a megküzdés konstruktív útjait, magas szorongásszint esetén az elkerülést alkalmazták, mint a feszültséggel való maladaptív megküzdést. (Oláh, 2005)
Margitics Ferenc - a megküzdési stratégiákat vizsgálva késői serdülőkorban - azt találta, hogy a depressziós tünet együttessel legszorosabb összefüggést az érzelemközpontú megküzdési módok mutatták, elsősorban az érzelmi indíttatású cselekvés és a visszahúzódás, valamint a kognitív átstrukturálás hiánya. (Margitics, 2007)
Aszmann Anna szerint magasabb a depressziós tünetek előfordulása az alacsony társadalmi helyzetű családokban élő serdülőknél, ahol nagyobb stressznek vannak kitéve. (Aszmann, 2001)
A kérdőíves vizsgálat során arra kerestem a választ, hogy milyen összefüggés van a 14-16 év közötti serdülőkorú fiatalok esetében a szülőkhöz való kötődés és az önértékelés, illetve a kötődés és a különböző (probléma-fókuszú , emóció-fókuszú) megküzdési módok preferenciája között.
A kutatás hipotéziseit elsősorban a kötődés és coping összefüggéseit vizsgáló elméletekre alapozom, kiemelve a magyar vizsgálatok (Kopp és munkatársai , 2001; Margitics 2007, Aszman 2001) eredményeit.
„A korai lelki sérülések és az anya-gyerek kapcsolat zavarai befolyásolják a személyiség fejlődését, a megküzdési képesség és a szociális kompetencia kialakulását. A kötődés sérülése depresszióhoz, szorongásos kórképekhez, alkalmazkodási nehézségekhez és később a szülői szerep zavaraihoz vezethet.” (Lázár , in.: Buda, Kopp 2001, 234.0.)
„ A bizonytalan kötődés hátrányával induló személyt az alacsony önbecsülés, alacsony motiváltság és teljesítőképesség, beilleszkedési zavarok jellemzik.” (Lázár, in.: Buda, Kopp, 2001,238.o.)
A serdülőkori jól-lét elsődleges feltétele az önelfogadás, önmaga pozitív értékelése.
(Kökönyei, 2002) Az énkép, az önismeret a szociális interakciók következményeként alakul ki, formálódik, az önismereti készségek kialakulásában, önmaguk reális megítélésében nagy szerepe van a társas tükörnek. (Bagdy 1988, in.: Koncz 1994, 23.o.)
Sandler szignifikáns összefüggést talált a társas támogatás és a stressz, valamint a stresszel való megbirkózás között. (Sandler,1980, in.: Pikó,1997)
Ugyan a serdülőkorban a kortárscsoport szerepe kiemelt lesz, de a szülői elfogadás, megtartás, támogatás megélését, a szülőkhöz való kötődést, az ő megerősítő visszatükrözésüket nem helyettesítheti, kölcsönösen szükségesek, kiegészítik egymást. (Vikár, 1980)
Pikó Bowlby elméletére alapozva állítja, hogy a megfelelő szociális kötődés hozzájárul a problémamegoldási és stresszfeldolgozó készség fejlődéséhez, a társas támogatás elfogadásához és igénybe vételéhez. A társas támogatást az erős szociális kötődéssel jellemezhető személyek alkalmazzák gyakrabban és eredményesebben. (Pikó, 1997)
Mindezek alapján a következő hipotéziseket vizsgáltam:
1. Az a serdülő, aki szüleihez biztonságosan kötődik, magasabb önértékeléssel bír.
2. Azt, aki biztonságosan kötődik, a stresszel való megküzdés során inkább jellemzi
a. a problémacentrikus reagálás és a támaszkeresés, mint
b. az emóció-fókuszú megküzdési módok.
3. A szüleihez biztonságosan kötődő serdülő kevésbé szorong.
Az adatgyűjtést gimnáziumi, szakközépiskolai és szakiskolai tanulók körében végeztem, négy különböző városban található nyugat-dunántúli középiskolában.
A részvétel minden egyes esetben önkéntes alapon, a tanuló/szülő beleegyezésével történt. Az önkitöltős kérdőíveket tanítási órák keretében vettem fel.
A vizsgálatban 193 tanuló vett részt, a kitöltött kérdőívek közül 140 érvényeset választottam tombolamódszerrel úgy, hogy a fiúk-lányok aránya 50-50%, a gimnáziumi-szakiskolai diákok aránya szintén 50-50% (azaz: 35 gimnazista fiú, 35 gimnazista lány, 35 szakiskolás fiú, 35 szakiskolás lány) volt.
Az életkor átlaga 15,36 év, a legfiatalabb 14, a legidősebb 17 éves.
Kérdőíves kutatás:
1. Problémacentrikus reagálás 5. Emóciófókusz
2. Támaszkeresés 6. Emóció kiürítés
3. Feszültség kontroll 7. Önbüntetés
4. Figyelem elterelés 8. Belenyugvás
Összesített, Düh-elfojtás, Düh-kinyilvánítás skála
Az adatok feldolgozása, elemzése
Kétmintás t-próba
Két csoport: Biztonságosan kötődő- Bizonytalanul kötődő
Az összehasonlító statisztikai vizsgálathoz a mintán belül két csoport - a biztonságosan kötődő és a bizonytalanul kötődő csoport – elkülönítésére került sor az IPPA kérdőív alapján.
A vizsgált mintának a 38,57 %- a biztonságosan, 61,42 %- a bizonytalanul kötődő serdülő.
A bizonytalanul kötődők száma 1,59-szeres ( a különbség nem szignifikáns, p<0,09)
Nemek szerinti bontásban a fiúk 1,57-szer nagyobb számban kötődnek biztonságosan, mint a lányok. Iskolatípus szerinti megoszlásban a gimnáziumba járók 52,85 %-a kötődik biztonságosan, a szakiskolások esetében pedig 24,28 %. A biztonságosan kötődő gimnazisták száma 2,17-szer több.
Míg fiúk tekintetében alig van különbség a gimnazisták és szakiskolások kötődési aránya között, a lányok esetében lényegi az eltérés (p< 0,001). A szülők iránti leglazább kötődés a szakiskolás lányok csoportjában tapasztalható.
Rosenberg önértékelési kérdőív
A szakképzőbe járó fiúk önértékelési átlaga a legmagasabb (8,51), a normál övezetbe
tartozik. A szakképzős lányok átlaga a mintán belül a legalacsonyabb (12,06).
Az önértékelésben nemek szerint van szignifikáns különbség (p<0,07), a fiúk önértékelése összességében átlagos (9,34), a lányoké (11,47) alacsony.
SEI
Szignifikáns különbség az egyes csoportok között egyik mutatóban sincs.
A fiúk Önértékelés-indexe ismét magasabb, mint a lányoké. Az alkalmazott két önértékelési kérdőív hasonlóképpen mér.) A Társak-skála kivételével valamennyi alskálában magasabb a fiúcsoportban kapott százalékos érték.
Az alskálák értékeit egymással összevetve kitűnik az Iskola-skálán kapott lényegesen alacsonyabb érték, jelzi, hogy a diákok kevésbé elégedettek saját iskolai eredményességükkel, kevésbé bíznak tanulmányi sikereikben, önértékelésük ezen a téren a legalacsonyabb.
A vizsgált minta eredményeit a magyar átlaggal (SEI) összevetve:
IPPA I. (Anya)
A szakképzős lányok értékeiben a legjelentősebb a többi csoporthoz viszonyított elmaradás, a Bizalom és Kommunikáció mutatói lényegesen alacsonyabbak, míg az anyától való Eltávolodás értéke szignifikánsan magasabb esetükben.
IPPA II (Apa)
Az apához való kötődés tekintetében nincs szignifikáns különbség sem iskolatípus, sem nemek szerint.
IPPA III. (Kortársak)
A kortársak iránti kötődés mutatói az anyához való kötődéshez hasonló tendenciát mutatnak. Az a szakiskolás lánycsoport, melynek anyai kötődése a legalacsonyabb volt, kortárskapcsolataiban is hasonlóan alacsony kapcsolódású.
Mindkét nem esetében az anya iránti Bizalom értéke a legmagasabb, ezt követi a kortársakra, majd végül az apára vonatkozó érték. A fiúk mutatói magasabbak, mint a lányoké.
A Kommunikáció-skálán szintén az anyára vonatkozó mutatók a magasabbak mindkét nemnél. A fiúk értékei a kommunikáció-skálán a lányoké alatt maradnak.
A lányok eltávolodás értékei az anya, az apa és a kortársak vonatkozásában is magasabb a fiúkénál. A fiúknál a kortársaktól, majd az apától; a lányoknál az anyától, majd a kortársaktól való eltávolodás szerepel magasabb értékkel.
MMPK
Az MMPK – skálái közül egyedül a Támaszkeresés átlagos értéke mutat nemek szerint különbséget. A lányokra szignifikánsan magasabb értékben (p< 0,000) jellemző a támaszkereső magatartás, mint a fiúkra.
Iskolatípusonként lényegi eltérés az egyes megküzdési módok választásakor nem tapasztalható.
A teljes minta választásait skálánként, százalékos értékben összehasonlítva észrevehető, hogy legnagyobb arányban a problémacentrikus reagálás (75,1%) jellemzi a vizsgált serdülőket.
Ezt a feszültség kontroll (71,91%) és a támaszkeresés (68,46) követi.
(Arányaiban, sorrendiségében ez megfelel a tesztkészítők által tapasztaltaknak. / Oláh, 2005,70.o.)
Legkisebb százalékban az önbüntetés (52,55 %) és az emóció kiürítés (52,98%) fordult elő.
A lányok esetében a problémacentrikus reagálás, a támaszkeresés, az emóciófókuszú reagálás és az önbüntetés skálák értékei a fiúcsoporté felett vannak. (Közülük csak a támaszkeresés szignifikáns.)
A fiúk egyedül az emóció kiürítés skálán mutatnak magasabb értéket a lányoknál, a feszültség kontroll és a belenyugvás mutatói mindkét nemnél egymáshoz közeliek.
STPI
A Pillanatnyi düh mutatóban nemek szerint van szignifikáns különbség (p< 0,000) , a fiúk értékei magasabbak.
A Kíváncsiság hajlam a gimnáziumi tanulók esetében magasabb, így iskolatípus szerint ad szignifikáns különbséget (p<0,009).
A vizsgálati mintára a dühösség hajlam összességében jellemzőbb, mint a szorongás hajlam.
A standard átlagértékekhez viszonyítva mindkét nemnél magasabbak a kapott értékek, az eltérés értéke:
A kíváncsiság hajlam az életkori átlag alatti, az eltérés értéke:
Harag és düh kifejezési mód skála
Az egyes csoportok értékeit összevetve szignifikáns különbség csak a Düh-kinyilvánítás (A/out) skálán tapasztalható. A fiúk düh-kinyilvánítása szignifikánsan magasabb (p < 0,009) , mint a lányoké.
A másik két mutató sem nemek, sem iskolatípus szerint nem jelez lényegi különbséget.
A tesztfejlesztők által közzétett átlagértékekkel összevetve: a vizsgált minta mindhárom mutatója meghaladja a standard értékeket. A mintába tartozó serdülők esetében a harag nyílt kimutatása kifejezettebb. (Oláh, 2005, 5.o.)
A csoportonkénti átlagértékek összehasonlítása
A csoportonkénti átlagértékek összehasonlítása alapján az alábbi megállapítások tehetők:
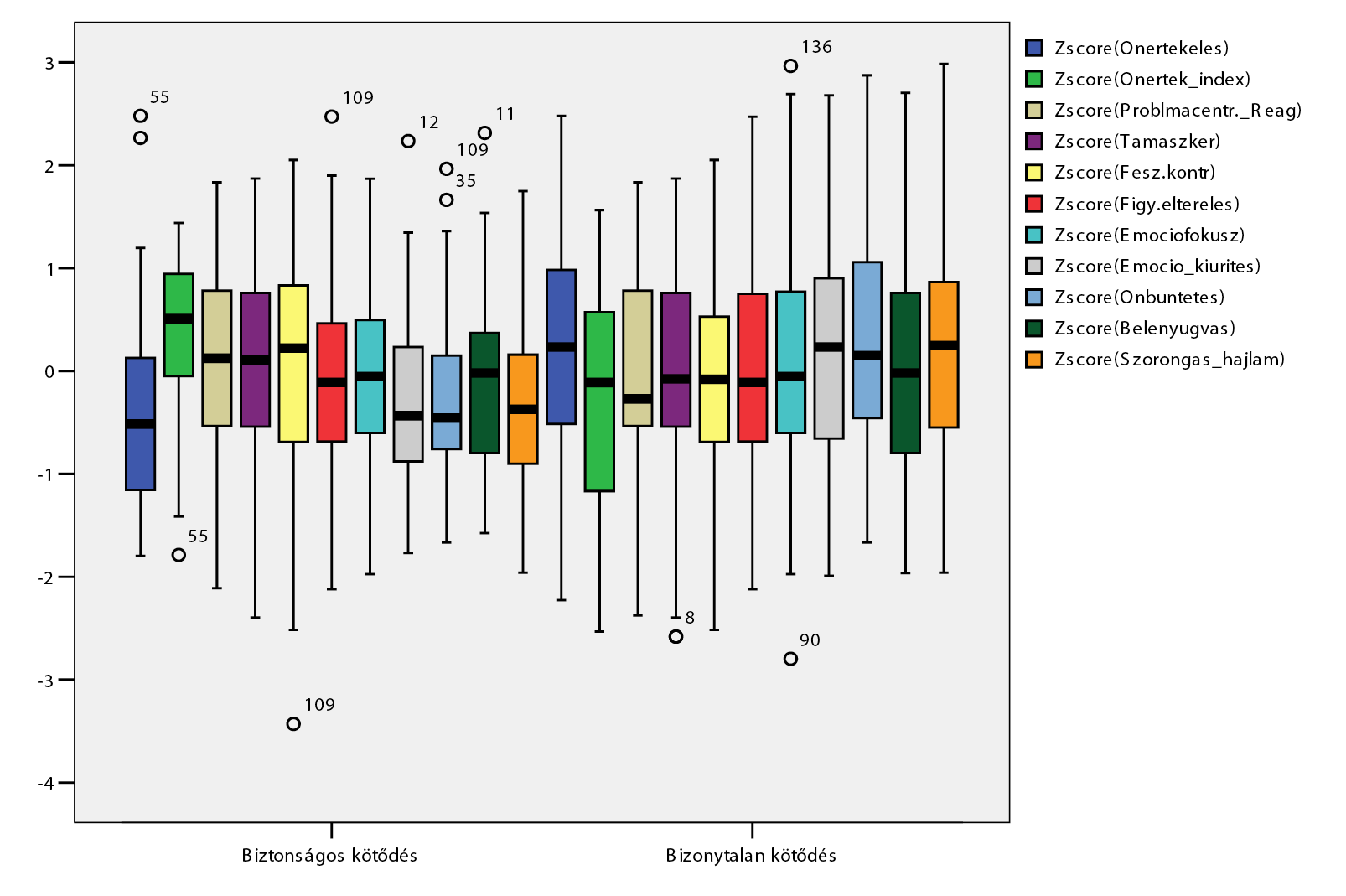
Támaszkeresés, Figyelem elterelés, Emóció fókusz, Emóció kiürítés, Önbüntetés
Az összehasonlító statisztikai vizsgálatban kétmintás t - próbával kapott eredményeket az alábbi ábrával szemléltetem.
1. Grafikon. A holtpontok száma a gondolatok függvényében
A kétmintás t-próba szerint szignifikáns összefüggéseket az alábbi esetekben találtam:
A szüleikhez biztonságosan kötődő serdülők önértékelése szignifikánsan magasabb.
1. Az első hipotézis - Az a serdülő, aki szüleihez biztonságosan kötődik, magasabb önértékeléssel bír. – igazolást nyert.
A szülőkhöz való kötődés szignifikáns összefüggést mutatott az önértékeléssel. A magasabb önértékelésű serdülők szüleik iránti kötődése erősebb, mint alacsony önértékelésű társaiké.
A serdülőkor az énkép, az önértékelés alakulásának kritikus, hullámvölgyekkel tarkított időszaka. A vizsgált minta önértékelés-átlaga alacsony, ez a serdülő fiatalokra általában is jellemző. Az Egyesült Államokban például jelentékeny csökkenést találtak a gyerekek önértékelésében a serdülőkor elején, melyet azután folyamatos növekedés követ 15-16 éves kor után (Harter,1999, in.: Cole,1997). Ennek részben az az oka, hogy a középiskolába kerülés növekvő tanulmányi erőfeszítést követel a gyerekektől, miközben meg kell birkózniuk azzal is, hogy egyben az iskolai szocializációs ranglétra aljára kerültek, illetve kortárskapcsolataik összetétele is részben megváltozott. Mindezek az okok az általam vizsgált minta esetében is fennállnak.
A serdülőkor krízise az identitás alakuló érzése és a szerepkonfúzió között feszül (Erikson, 1968, in.:Carver, Scheier , 2004), a végcél az, hogy a serdülőkorból erős identitásérzéssel kerüljön ki a fiatal.
Kutatási eredmények igazolják, hogy mind a család, mind a serdülők kortárskapcsolatai befolyásolják az identitásképzés folyamatát. Grotevant és Cooper (1985) bizonyította, hogy a kötődés (a család) biztos háttérként segíti a serdülő identitáskeresését. (Grotevant, Cooper,1985, in.:Carver, Scheier , 2004)
A vizsgált minta eredményei is arra utalnak, hogy a szülőkhöz való kötődés, a tőlük kapott bizalom és az elfogadást közvetítő kommunikáció segíti a serdülőt önmaga elfogadásában. Fontos ez azért, mert a reális, pozitív önértékelés a lelki egészség, a mentális jól-lét legfőbb összetevője, mely hozzásegít az énidentitás kialakulásához.
2. A második hipotézis - Azt, aki biztonságosan kötődik, a stresszel való megküzdés során inkább jellemzi a problémacentrikus reagálás és a támaszkeresés, mint az emóció-fókuszú megküzdési módok. – csak részlegesen volt igazolható.
A különböző megküzdési módok átlagértékei jelezték a kötődéssel való feltételezett együtt járást, hisz a biztonságosan kötődők nagyobb mértékben választották a problémacentrikus reagálást és támaszkeresést, magasabb volt a feszültség kontroll értéke és kevésbé preferálták a többi kategóriát (emóció-fókuszú megküzdés), s a bizonytalan kötődést mutatók éppen fordítva.
A biztonságosan kötődők a problémamegoldás során inkább képesek magára a problémára koncentrálni, önmagukban vagy a környezetükben változtatást implikálni a megoldás érdekében. Kevésbé frusztráltak, jobban kezelik indulataikat, düh-kinyilvánításuk kisebb mértékű. Feltételezhető, hogy az elfogadó szülő-gyerek kapcsolat és a pozitív kommunikáció jobb konfliktusmegoldó mintákat ad, konstruktívabb megoldásokra bátorít.
Amennyiben nincs szilárd, biztos szociális kötődés, olyan interperszonális kapcsolati minta, amely kellő támaszt, bizalomteljes odafordulást jelenthetne konfliktushelyzetben, a serdülő bizonytalan, inkább érzelmi választ ad.
Az érzelemközpontú megküzdésnek gyakran az a célja, hogy a negatív érzelmek elhatalmasodását megakadályozza. Maladaptív, káros viselkedéses válasz az alkohollal, droggal, dohányzással történő feszültség levezetés.
„ Az érzelmek elfojtása és a saját igények túlszociális magatartással leplezett elnyomása célszerűtlen alkalmazkodási formának tekinthető. A kontrollálhatatlan külső stresszorokkal való ismételt találkozás nyomán előálló tanult tehetetlenség is a megküzdés kudarcát mutatja. Valójában a torzult lelki munkamódok közé sorolhatjuk az immunszupresszív következményekkel járó szenvedélybetegségeket, mint az alkoholizmus vagy a drogabúzus is.” (Lázár, 2001, in.: Buda, Kopp, 2001)
Stresszhelyzetre adott általános reakció – a szorongás után- a gyakran agresszióba torkolló harag. (Atkinson, 1995). A bizonytalan kötődésű serdülőket inkább jellemzi a düh-kinyilvánítás, kevésbé tudják érzelmeiket kontrollálni, konfliktusaikat gyakrabban próbálják agresszív megoldásokkal rendezni.
A kötődési bizonytalanság megmutatkozik a társas támogatás kerülésében is. Pedig a „ stressz puffer modell” szerint a stressz egészségkárosító hatásait a szociális támogatás befolyásolhatja, tompíthatja. A társas környezet segít a helyzet átértékelésében, a kialakult következmény megoldásában vagy egyéb megküzdési stratégiák kialakításában. (Lázár, 2001, in.: Buda, Kopp, 2001)
A vizsgálati adatok szerint a biztonságos kötődést mutatók nagyobb arányban kérnek és fogadnak el segítséget másoktól, megküzdésük ez által is eredményesebb lehet.
A hipotézis – minden coping mutatóra érvényes - egyértelmű igazolását szélesebb körben végzett, reprezentatív méréssel lehetne elvégezni.
3. A harmadik hipotézis - A szüleihez biztonságosan kötődő serdülő kevésbé szorong. – a vizsgálati eredményekkel igazolható.
A bizonytalan kötődést mutató serdülők vizsgálati eredményeiben a szorongás hajlam szignifikánsan magasabb volt, mint biztosan kötődő társaik esetében.
A stresszre adott válaszok közül a szorongás a leggyakoribb. (Atkinson, 1995)
A szülőkhöz való biztonságos kötődés nagyobb védettséget jelent a szorongáson alapuló
kórképekkel szemben.
A kapott eredmények figyelemfelkeltőek, még akkor is, ha - a mintaválasztás korlátozottsága miatt – csak következtések levonására alkalmasak a 14-16 éves korosztályt illetően, általános kijelentések tételére nem.
A vizsgált mintában nagyobb volt a szüleikhez bizonytalanul kötődők aránya, mint a biztonságos kötődést mutatóké. Ugyan ez a serdülőkori átpártolással is kapcsolatba hozható, ám elgondolkodtató, hogy összességében azok a fiatalok mutattak magasabb kapcsolódást társaikhoz, akik szüleikhez szintén erősebben kötődtek. A szülőkhöz való bizonytalan kötődés pedig inkább bizonytalan kortárskapcsolatokkal mutatott összefüggést. Vagyis a kutatás azt a nézetet igazolta, hogy a későbbi interperszonális kapcsolatokban meghatározó a szülőkhöz való kötődés milyensége, s ez még a nagyon kritikus serdülőkori változások idején is érvényes, igaz a biztonságos kötődést mutatók aránya a vizsgált mintában kisebb.
A biztonságosan kötődők száma alacsonyabb volt a szakiskolába járók (különösen a szakiskolás lányok) esetében, ami arra utal, hogy a szociokulturális háttértényezők is befolyással lehetnek a serdülőkori kötődésre.
A vizsgált minta önértékelése elmarad az országos átlagtól, az agresszív viselkedés (düh-kinyilvánítás) terén viszont felette van annak.
A szülőkhöz való biztonságos kötődés az önértékeléssel egyenes arányú, a szorongás hajlammal fordított arányú szignifikáns összefüggést mutatott. Tendencia volt megfigyelhető arra nézve is, hogy a biztonságos kötődésű tizenévesek stresszkezelése adekvátabb, inkább választanak problémaközpontú coping stratégiákat, és pozitív társkapcsolati mintáik révén inkább kérik mások segítségét.
A serdülőkor fő küldetése a szilárd identitás elérése. Az érzelmi- akarati önállósulás legfontosabb lépése a szülőkről való érzelmi leválás, a pszichikus függőség kötelékének elszakítása. Enélkül nem bontakozhat ki érett, felnőtt személyiségstruktúra. (Bakó,2004)
A biztonságos kötődés védettséget jelent.
A biztonságosan kötődő serdülő jobb eséllyel teljesíti e feladatot, ennek talaján önértékelése is magasabb, coping stratégiái adekvátabbak, nincs szüksége minden pillanatban támogatásra, el tud távolodni, mert szilárd hitét, bizalmát másokban és önmagában belülről, személyisége részeként hordozza.
„Ahhoz kell elvezetni a fiatalokat, ami hiányzik belőlük” Kopp Máriával, a Semmelweis Orvostudományi Egyetem Magatartástudományi Intézetének igazgatójával beszélget Both Mária és Csorba F. L. Új Pedagógiai Szemle, 2001. január.
Aszman A. (2001): Fiatalok egészségi állapota és egészségmagatartása. Országos Tisztiorvosi Hivatal, Budapest
Atkinson, R.L., Atkinson, R.C., Smith, E.E., Bem, D.J.(1995): Pszichológia. Osiris-Századvég, Budapest
Bagdy E. (1977): Családi szocializáció és személyiségzavarok. Tankönyvkiadó, Budapest
Bakó T. (2004): Utak és ösvények. Psycho Art, Budapest
Bartholomew, K., Horowitz, L. M., Attacment Styles Among Young Adults: A Test of a our-Category Model, Journal of Personality and Social Psychology, 1991/2., 226-244.
B.Kádár J.: Oldás és kötés: a korai serdülőkor folyamatai és helyszínei. In.: Fejlődéslélektan olvasókönyv. Szerk.: Bernáth László, Solymosi Katalin (1997), Tertia Kiadó, Budapest, 87-109.o.
Bowlby, J.(1969): Attachment and loss, Volume I.: Attachment. New York: Basic Books
Buda B., Kopp M., Nagy E. (2001): Magatartástudományok. 2.,11.fejezet, Medicina Kiadó, Budapest
Buda B., Kopp M., Nagy E. (2001): Magatartástudományok. 2.,11.fejezet, Medicina Kiadó, Budapest
Bugán A. (szerk.) (2002): A kapcsolati egyensúlyok szerepe az egészséges alkalmazkodásban. 6.,9.fejezet , Center - Print Nyomda, Debrecen
Carver, Ch. S. & Scheier, M. F. (2004): Személyiségpszichológia Osiris, Budapest
Cole, M., Cole, Sh.R.(1997): Fejlődéslélektan. Osiris, Budapest
Csorba J. –Huszár J.: Szülőkapcsolat, nevelési jellemzők és társas támasz pszichés distresszben szenvedő serdülő lányoknál. Pszichológia 11. (1991./4.(553-572))
Fonagy, P. , Target, M. (1998): A kötődés és a reflektív funkció szerepe
a szelf fejlődésben. Thalassa, 9. 1: 5-43
Fónagy P., A kötődés generációs átvitele: egy új elmélet, Thalassa, 2003/2-3.
Gervai J.: „A korai kötődés jelentősége a gyermek fejlődésében”.
In: A megtermékenyítéstől a társadalomig. Szerk.: Hidas György (1997): Dinasztia Kiadó, Budapest, 29-39. o.
Gervai J., Tóth I.(2005): A szülő-gyermek kapcsolat és a kötődési minőség vizsgálata. A kötődés minőségének mérése csecsemő- és óvodáskorban. Alkalmazott Pszichológia, VII. /4. 14-26
Hazan, C. , Shaver P.R. (1990): Love and Work: An Attachment - Theoretical Perspective. Journal of Personality and Social Psychology, 59(2), 270-280
Koncz I.(1994): Videós önismeretfejlesztés: a videó felhasználási lehetőségei a 14–18 éves tanulók önismeretre nevelésében. Fitt Image, Budapest.
Kopp M., Skrabski Á.(1995): Alkalmazott magatartástudomány. Corvinus Kiadó, Budapest
Kopp M. és Skrabski Á. (2001): Magatartás és család. Új Bioetikai Szemle, 7. 4. sz. 1–25.
Kopp M. (1997): Testi és lelki egészségünk összefüggései. Praxis, 6. 11. sz. 37–45.
Kulcsár Zs. (2002) : Egészségpszichológia. ELTE Eötvös Kiadó, Budapest
Kökönyei, Gy., Aszmann, A., Szabó, M. (2002): A serdülők jól-létét befolyásoló tényezők. Egészségnevelés, 43. 49-56.
Kulcsár Zs. (2006): Korai személyiségfejlődés és énfunkciók. Argumentum K., Budapest, 21-22.o.
Makara P. (szerk.) (2008): Mentális egészségfejlesztési stratégia – pozitív egészségfejlesztés és primer prevenció. Országos Egészségfejlesztési Intézet, Budapest
Margitics F. , Pauwlik Zs. (2007): Depresszió és megküzdés serdülőknél. Krúdy Kiadó, Nyíregyháza
Nagy E., Molnár P., Fogóreflex és kötődés: kapcsolatuk pszichofiziológiai modellje. Pszichológia, 1998/1.
Oláh A. (2004): Megküzdés és pszichológiai immunitás.
In.: Pléh Cs., Boros (szerk.): Bevezetés a pszichológiába. Osiris K. , Bp., 631-664
Oláh A.(2005) : Érzelmek, megküzdés és optimális élmény: Belső világunk megismerésének módszerei. Trefort Kiadó, Budapest
Pikó B. (1997): Coping – Társas kapcsolatok – Társas coping. Pszichológia, 17, 391-399.
Pulay K.: A kötődésről és az anya hiányáról. In.: Fejlődéslélektan olvasókönyv.
Szerk.: Bernáth László, Solymosi Katalin (1997), Tertia Kiadó, Budapest
Skinner,E.A., Wellborn, J.G. (1994): Coping during childhood and adolescence: A motival perspective. In: Featherman, D.L., Lerner,R.M., Perlmutter, M. (Eds.): Life-span development and behavior. Hillsdale, NJ: Erlbaum
Tringer L., Csorba J.,Pintér K., Ratkóczy É., Perczel-Forintos D.(1994): Az önkép fejlődésének zavarai a szülői elvárások tükrében. Psychiátria Hungarica,9:447-482.
Urbán R., Felnőttkötődés és intim kapcsolatok. Magyar Pszichológiai Szemle, 1996/4-6.
Budapest, 115-129.o.
Vikár Gy.(1980): Az ifjúkor válságai. Gondolat, Budapest
WHO (1986) . Ottawa Charter for Health Promotion.
Zsolnai A.(2001): Kötődés és nevelés. Eötvös Kiadó, Budapest